728x90
이 모델들은 모두 정상 시계열 데이터임을 가정한다. 따라서 시점에 따른 분산이 일정하고, 시점간의 일정한 공분산 등 여러 가정들이 모델 설명 때 쓰인다.
원강의 :
www.youtube.com/watch?v=R5L3El8YZwk&t=121s
1. MA 모델
1) MA(1)

- MA 모델은 Xt 를 이전 오차들로 표현하는 방식

- 이론적으로는 MA(1)에 딱 맞는 데이터는 이런 모양의 ACF 가 나와야 한다.
- theta 는 파라미터
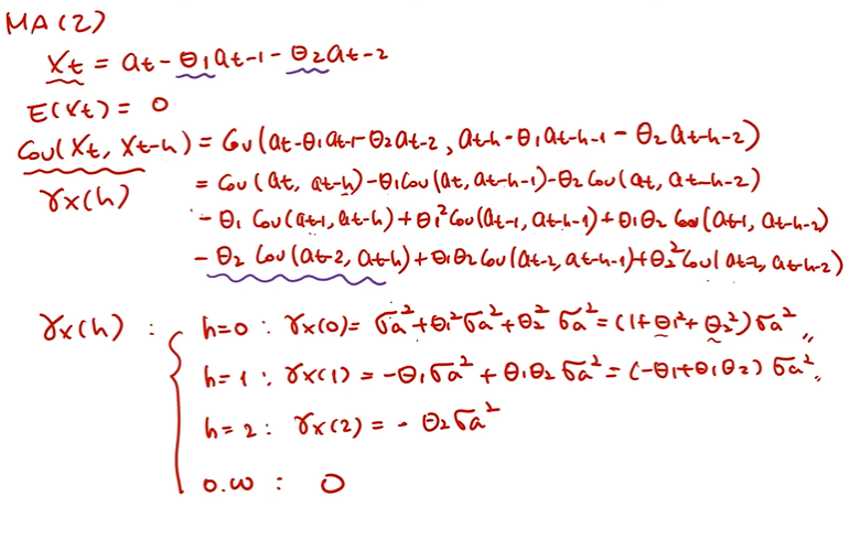
2) MA(2)

- MA(2) 의 자기공분산

- cut-off 가 3에서 되쥬?
- 박스앤 잰킨스인가 여튼 그분들이 말한 것처럼 실제 데이터가 저런 모냥이면 MA(2) 모델로 하면 됨.
2. AR 모델
자기자신의 과거로 예측
1) AR(1)

- 여기서는 분산도 필요해서 구했네
- 이번에는 h=1, h=2, ... 인 경우를 구해보고 규칙을 찾음.

- 서서히 decay 하는 모양의 ACF이다.
- 일반 데이터가 이런 모양이라면 AR(1) 적용
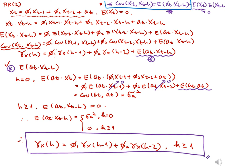
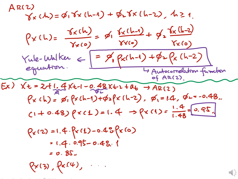
2) AR(2)

- 저 맨 위 파란색 박스를 이용해서 Cov()를 그 위의 식과 동일시한 것.
- 왜 E가 Cov로 바뀐지는 모르겠다.

- 저렇게 쉽게 등식이 성립하는데 이걸 Yule-Walker equation이라고 한다.
- 중간에 P(-1) = P(1) 인 점
# 참고

질문과 비판은 언제나 환영입니다. 많이 꾸짖어주세요.
728x90
'김성범 교수님 유튜브 강의 > 파이썬 시계열 분석' 카테고리의 다른 글
| ARIMA 모델 - Part 6 (0) | 2021.01.14 |
|---|---|
| ARIMA 모델 - Part 5 (0) | 2021.01.13 |
| ARIMA 모델 개요 - Part 3 (0) | 2021.01.12 |
| ARIMA 모델 개요 - Part 2 (0) | 2021.01.10 |
| ARIMA 모델 개요 - Part 1 (0) | 2021.01.10 |