728x90
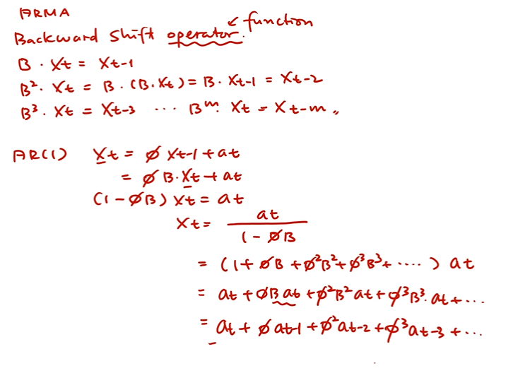
# Backward Shift operator(B)
이거랑 만나면 한 시점 뒤로 간다. BXt = Xt-1
1. AR(1)
AR(1)과 AR(2) 를 이런 식으로 나타낼 수 있다~

- B는 특정 Xt를 backward 시켜준다.
- 그 성질을 이용하여 AR(1) 모델을 다시 적어주면 위와 같다.
- Xt 등식의 우변은 비율이 phi*B 인 무한등비수열의 합과 같다.
- 결국 AR 모델도 White Noise 들로 나타낼 수 있다.
2. AR(2)

- AR(2) 도 위와 같이 백색소음들로 표현가능.
- 참고로 Forward shift operator 도 있다.
3. ARMA(1,1)
1) h = 0 일 때

- 목표는 ' ARMA 모델의 AutoCovariance 구하기 '
- Yule-Walker 등식 이용
- 참고로 E(AxB) = Cov(A,B)이다.
- 우선 ARMA 모델을 보라색 글씨로 WN의 선형결합으로 표현했다. 이건 나중에 쓰임.
- 다시 돌아가서 h=0 일 때, Cov() 를 구하자.
- 이 때 파란글씨로 된 부분을 아까 Xt를 at의 선형결합으로 표현한걸 가져와서 바꿔준다.
- 결론은 h=0 일때 ARMA 모델의 분산을 구한 것.
2) h=1, h>=2 일 때

- h=1 일 때의 공분산과 h=1 일 때의 공분산을 연립방정식으로 풀어 gamma_x(0) 과 gamma_x(1)을 구해준다.
- h>=2 일 때는 결국 저렇게 됨.
4. AR(p)

- 보라색 부분을 그냥 함수형태로 phi(B) 라 하면 저렇게 표현 가능.
- 보라색 그래프 처럼 at라는 white noise 가 있을 때, phi-1(B) 랑 곱해지면 AR(p) 모델이 나온다는 것.
- "AR process 는 백색소음이 특정 필터와 선형결합한 결과물"
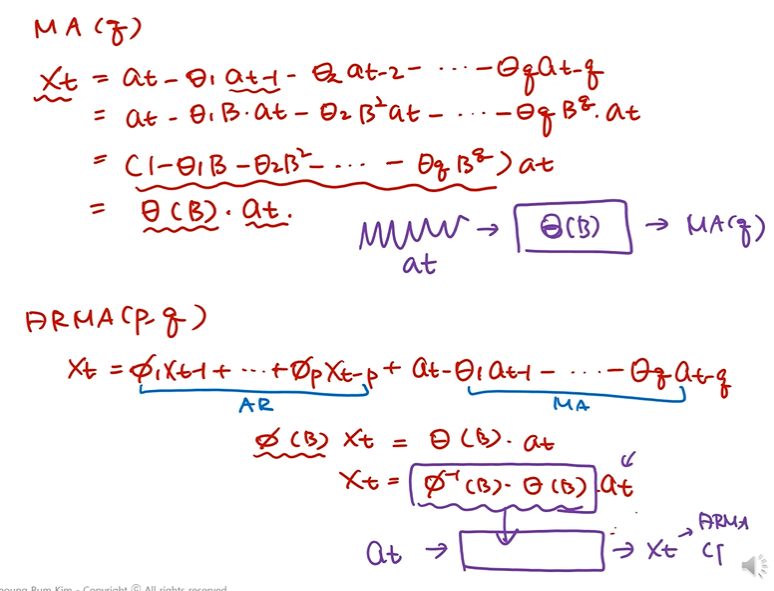
5. MA(q) & ARMA(p,q)

- MA 모델은 원래 WN의 선형결합이긴 했는데, 어쨋든 저런 필터를 통과하면 MA(q) 모델이 된다.
- ARMA 모델은 그냥 두개 합친거
- 근데 잘 보면 Xt에 대한 새로운 정의이기 때문에 덧셈으로 더하는게 아니라
- MA 부분은 그대로 바꿔주고 나머지는 이항해서 다시 바꿔주면 저렇게 Xt가 바뀐다.
- 이번에는 새로운 filter가 생겼쥬?
질문과 비판은 언제나 환영입니다. 많이 꾸짖어주세요.
728x90
'김성범 교수님 유튜브 강의 > 파이썬 시계열 분석' 카테고리의 다른 글
| ARIMA 모델 Python 실습 (0) | 2021.01.22 |
|---|---|
| ARIMA 모델 - Part 6 (0) | 2021.01.14 |
| ARIMA 모델 - Part 4 (0) | 2021.01.13 |
| ARIMA 모델 개요 - Part 3 (0) | 2021.01.12 |
| ARIMA 모델 개요 - Part 2 (0) | 2021.01.10 |